Hace un par de semanas hablábamos sobre la importancia de las finanzas en el emprendimiento, así como su diferencia, pero sobre todo la correlación que tiene con la tan odiada contabilidad.
Las finanzas necesitan cumplir con las funciones de Planificar, Controlar y finalmente la Toma de decisiones. Mientras que la contabilidad se trata de un sistema de registro fundamentado en distintas herramientas o estados financieros en donde se plasman todas las entradas y salidas de dinero en tu negocio, así como la relación de unas con otras para determinar cierta información.
Dicho en otras palabras, la función de las finanzas en tu empresa es ayudarte a tomar mejores decisiones a partir de la contabilidad (información interna) y del entorno (información externa). Analiza e interpreta los datos de contabilidad y se enfoca en el futuro de tu empresa para trazar rumbos y estrategias.
Las decisiones gerenciales y estratégicas no pueden existir sin la dupla contabilidad + finanzas. Ambas actividades son mucho más que números en una tabla de Excel: son el respaldo de muchas decisiones importantes.
¿Para emprender debo aprender a llevar la contabilidad?
La respuesta corta es NO, claro que no.
Una de los principios que defendemos y que es incluso parte fundamental del curso Los Pilares del Emprendimiento es que «Zapatero a su Zapato»
Si bien al principio como emprendedores nos toca realizar diferentes tareas simultaneas y que probablemente no puedas pagar por especialistas en cada área de tu proyecto, el trabajo del emprendedor como estratega es crear un plan que le ayude a crecer en estructura y equipo de trabajo con personas capacitadas para cada puesto, liberándote espacios de tiempo para trabajar en donde lo debes hacer: en el norte y gestión de tu negocio.
De esta forma, desde que creas tu plan de acción puedes formar la estructura deseada para tu negocio y las personas o colaboradores que por orden de prioridad debes ir agregando a la organización. Es aquí donde el área contable entra en juego.
La contabilidad cumple dos finalidades principales: La primera es tener al día todo lo referente a impuestos y legalidad tributaria, algo para lo que necesitas a una persona capacitada y constantemente actualizada (y no, no recomiendo que esta persona seas tu, a menos que seas contador). Lo segundo es para brindar la información base al área financiera que aporta directamente a las estrategias del negocio y su permanencia en el tiempo.
Es por esto que tercerizar el área contable no solo puede salirte mucho mas económico y ahorrarte muchos dolores de cabeza sino que también te permite concentrarte en las áreas donde el emprendedor es mas útil: tomando decisiones.
Si no llevo la contabilidad ¿Por qué necesito manejar la información contable?
Si has estado prestando atención a este artículo (y a los anteriores) podrás notar que si bien finanzas y contabilidad no son lo mismo, la segunda es necesaria para que la primera pueda realizar análisis, planificar y tomar decisiones más acertadas con relación a la realidad operativa del negocio.
Como emprendedor no es una obligación llevar personalmente la contabilidad de tu emprendimiento pero si necesitas entender la información que los informes contables y sus distintos registros revelan.
Entender cómo están los números, las proyecciones, lo referente a operaciones de compra y venta, es parte de las responsabilidades para gerenciar y gestionar de manera adecuada los recursos, y que estos vayan de la mano con los objetivos que te planteaste al inicio o para realizar los ajustes necesarios en el camino.
Palabras más Palabras menos, como emprendedor es tu responsabilidad entender e interpretar los informes contables para poder tomar decisiones financieras y estratégicas.
Pero si recién empiezas quizás te abrume todo este nuevo aprendizaje, sin embargo a continuación te muestro los 5 registros contables más básicos por los cuales deberías empezar.
Herramientas contables que todo emprendedor debe aprender a manejar… y sobre todo a interpretar
Vamos con las herramientas:
1. Balance General
El balance general, también conocido como balance de situación, es un estado financiero que refleja en un momento determinado la información económica y financiera de una empresa, separadas en tres masas patrimoniales: activo, pasivo y patrimonio neto o capital.
Este informe no nos muestra la variación a lo largo de un periodo de tiempo, sino de la situación en un momento determinado, por lo que podemos entenderlo como una foto de la estructura económica y financiera en un momento ya sea al inicio o al final del ejercicio económico.
2. Flujo de Caja
El flujo de caja hace referencia a las salidas y entradas netas de dinero que tiene una empresa o proyecto en un período determinado. Facilitando información acerca de la capacidad de la empresa para pagar sus deudas.
Por ello, resulta una información indispensable para medir el nivel de liquidez que tiene nuestro emprendimiento.
Si una empresa o una persona no tiene suficiente dinero en efectivo para apoyar su negocio, se dice que es insolvente. Ser insolvente durante bastante tiempo puede llevar a la bancarrota y al cierre del negocio.
Si nos encontramos con un flujo de caja positivo significa que nuestros ingresos han sido mayores que los gastos que hayamos tenido que hacer frente. Y, por el contrario, si el flujo de caja es negativo significa que hemos gastado más de lo que ha ingresado.
3. Estado de Resultados
El estado de resultados, también llamado cuenta de pérdidas y ganancias, recoge los ingresos y gastos que ha tenido una empresa durante un periodo de tiempo.
Es uno de los cinco estados financieros de la contabilidad, junto con el balance de situación, el estado de los flujos de caja que ya conocimos. En su forma más básica lo podemos reducir a una fórmula práctica que es:
Ingresos – Gastos = Beneficio Neto o Utilidad-Pérdida
4. Estructura de Costos
Como emprendedor, es muy importante que cuentes con una estructura de costos para el éxito de tu negocio. Establecer una estructura de costos tiene un propósito fundamental y es el de establecer los fundamentos para la generación de información relevante para la toma de decisiones de una organización.
Básicamente busca organizar de manera práctica los costos de producir un bien o un servicio, teniendo como referencia la estrategia y el proceso operativo, considerando tres elementos fundamentales: costos fijos, costos variables y el valor de la mano de obra.
5. Punto de Equilibrio
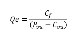
El punto de equilibrio es aquel nivel de ventas mínimo que iguala los costes a los ingresos.
En otras palabras, es ese mínimo de ventas necesario para no tener pérdidas y donde el beneficio es cero. A partir de él, la empresa empezará a obtener ganancias.
Este concepto es esencial para saber cuál es el mínimo vital para poder sobrevivir en el mercado.
En primer lugar, tenemos, los costes fijos (Cf) que son aquellos que tiene la empresa produzca y venda o no. Además, un precio de venta unitario (Pvu) de los productos y un coste variable unitario (Cvu) que es aquel que sí depende de la producción.

Colppy: Tu Software Contable
En el mundo del emprendimiento, la gestión eficiente de la contabilidad se ha vuelto indispensable para el éxito a largo plazo. Aquí es donde entran en juego herramientas especializadas como Colppy, un software contable diseñado para simplificar y optimizar las tareas financieras de tu negocio.
¿Qué es Colppy?
Colppy es más que un simple programa de contabilidad; es una solución integral que ofrece una variedad de funciones diseñadas para facilitar el manejo de tus finanzas. Desde el registro de transacciones hasta la generación de informes clave, Colppy busca simplificar cada paso del proceso contable.
Características Destacadas:
- Registro Centralizado:
Colppy te permite registrar todas tus transacciones de manera centralizada. Desde facturas hasta gastos, tener toda la información en un solo lugar facilita un seguimiento más preciso. - Automatización de Procesos:
Olvídate de las tareas tediosas y propensas a errores. Colppy automatiza procesos repetitivos, ahorrándote tiempo y minimizando posibles equivocaciones. - Generación de Informes Personalizados:
Obtén perspectivas claras sobre la salud financiera de tu empresa con la capacidad de generar informes personalizados. Analiza tendencias, identifica áreas de mejora y toma decisiones informadas. - Acceso Remoto:
La flexibilidad es clave para los emprendedores. Colppy permite el acceso remoto, lo que significa que puedes gestionar tus finanzas desde cualquier lugar con conexión a Internet. - Colaboración en Tiempo Real:
Si trabajas con un equipo, Colppy facilita la colaboración en tiempo real. Todos los involucrados pueden acceder a la información más reciente, mejorando la coherencia y la eficiencia.
¿Por Qué Integrar Colppy en tu Emprendimiento?
- Ahorro de Tiempo:
Al automatizar muchas de las tareas contables, Colppy te permite centrarte en el crecimiento de tu negocio en lugar de perder tiempo en procesos manuales. - Minimización de Errores:
La automatización no solo ahorra tiempo, sino que también reduce la probabilidad de errores humanos, brindándote información más precisa. - Cumplimiento Tributario:
Colppy está diseñado para cumplir con las normativas tributarias locales, asegurando que tu empresa cumpla con todas las obligaciones fiscales. - Escalabilidad:
A medida que tu negocio crece, Colppy se adapta. Su escalabilidad lo convierte en un compañero a largo plazo para el desarrollo de tu empresa.
Integrar Colppy en tu emprendimiento es más que adoptar un software; es invertir en una herramienta que simplificará y potenciará tu gestión contable. Descubre cómo esta plataforma puede ser la clave para un flujo de trabajo financiero más eficiente y preciso.
Conclusión:
El emprendimiento contemporáneo demanda una gestión financiera efectiva, donde las finanzas y la contabilidad desempeñan roles cruciales pero distintos. Mientras las finanzas se centran en la planificación, control y toma de decisiones estratégicas, la contabilidad actúa como el registro detallado de las transacciones financieras.
Es esencial reconocer que, aunque comparten una conexión vital, los emprendedores no están obligados a asumir personalmente la contabilidad. La externalización de esta área a través de herramientas especializadas como Colppy no solo resulta más económica sino que también libera al emprendedor para enfocarse en aspectos estratégicos y de gestión.
Entender la información contable, incluso sin llevarla directamente, sigue siendo crucial. La capacidad de interpretar informes financieros como el Balance General, Estado de Resultados, Estructura de Costos y Punto de Equilibrio permite a los emprendedores tomar decisiones informadas para el crecimiento y la sostenibilidad de su negocio.
En este contexto, Colppy emerge como un aliado indispensable, proporcionando una plataforma integral que simplifica y automatiza procesos contables. Desde la centralización de transacciones hasta la generación de informes personalizados, Colppy no solo ahorra tiempo y reduce errores, sino que también ofrece una herramienta escalable que se adapta al crecimiento de la empresa.
En última instancia, la combinación de comprensión financiera, herramientas especializadas como Colppy y la toma de decisiones estratégicas basadas en datos contribuyen al éxito y la solidez de los emprendimientos en un mundo empresarial cada vez más competitivo y dinámico.
Si encontraste útil toda la información que hemos compartido, te agradecemos sinceramente tu apoyo. Si deseas colaborar con nosotros, puedes hacerlo mediante una donación a través de PayPal o Cafecito. Tu generosidad nos ayuda a mantener nuestro contenido libre de publicidad y a seguir ofreciendo información valiosa para ti y para nuestra comunidad de lectores.
Si estás considerando crear tu propio sitio web, te recomendamos Hostgator. Es una plataforma fácil de usar y muy popular que te permitirá llevar tus ideas al mundo digital. Haz clic en el banner de abajo para obtener un descuento al crear tu sitio con WordPress.





